Portál na zverejňovanie zmlúv, objednávok a faktúr.
Celkovo zverejnených 24 zmlúv, 130 faktúr, 4 objednávok za organizáciu Horný Hričov.
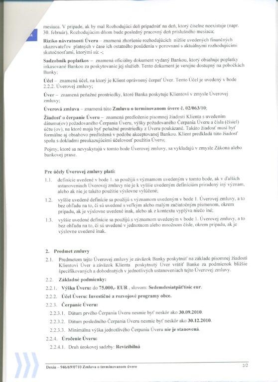
Zmluva
  • Číslo zmluvy
    02/063/10-1
  • Názov zmluvy
    Znluva o termínovanom úvere č. 02/063/10
  • Typ zmluvy
    Jednorázová
  • Dodatok
  • Dodatok k zmluve číslo
    Neviaže
  • Viaže sa k VO číslo
    Neviaže
  • UVO URL
  • Dátum zverejnenia
    14.3.2012
  • Názov organizacie
    Horný Hričov
  • Odberateľ

    • Názov
      OBEC HORNÝ HRIČOV
    • IČO
      00321290
    • Adresa
      191, 013 42 Horný Hričov
  • Dodávateľ

    • Názov
      DEXIA banka Slovensko a.s.
    • IČO
      31575951
    • Adresa
      Hodžova 11, 01011 Žilina
  • Dátum podpisu
    16.8.2010
  • Dátum platnosti od
    17.8.2010
  • Dátum platnosti do
    15.8.2020
  • Suma
    75 000,00 €
  • Nejde určiť hodnotu
  • Suma s DPH
    0,00 €
  • Číslo listu vlastnictva
  • Označenie nehnuteľnosti podľa zákona č. 382⁄2011 §5a odsek 12g
  • Poznámka
  • Prílohy

    • Dátum
      Názov
      Popis
    • 14.3.2012 17:50:00
      001.JPG
      001.JPG
    • 14.3.2012 17:50:00
      002.JPG
      002.JPG
    • 14.3.2012 17:50:00
      003.JPG
      003.JPG
    • 14.3.2012 17:50:00
      004.JPG
      004.JPG
    • 14.3.2012 17:50:00
      005.JPG
      005.JPG

    Dodatky