Portál na zverejňovanie zmlúv, objednávok a faktúr.
Celkovo zverejnených 42 zmlúv, 2 faktúr, 0 objednávok za organizáciu Kamenné Kosihy.
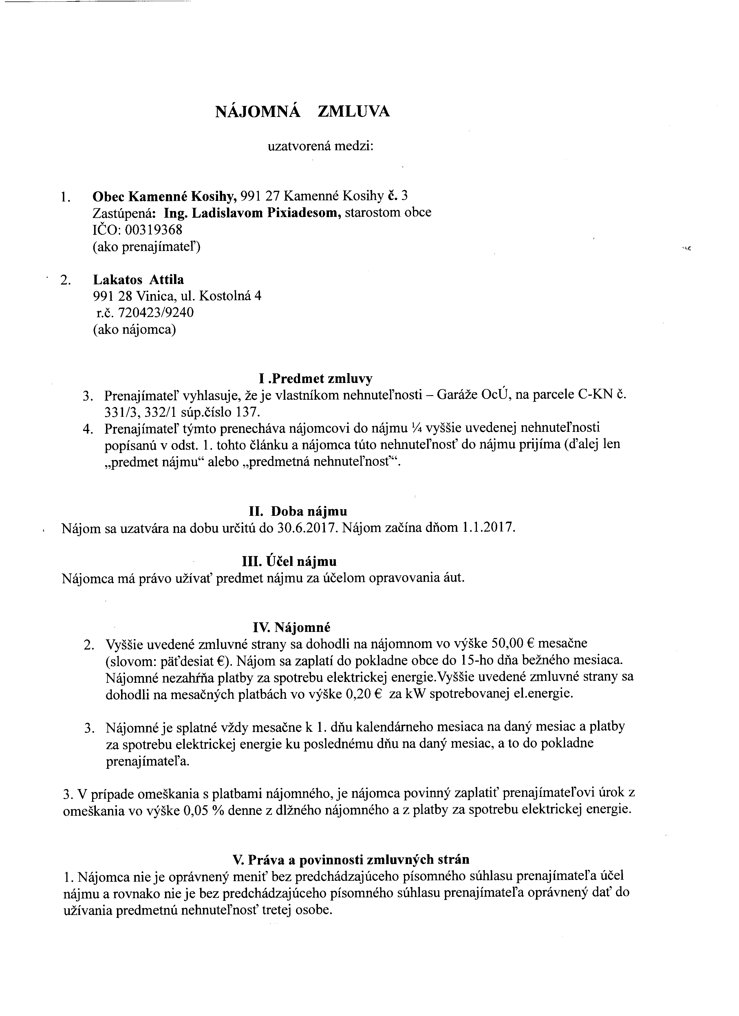
Zmluva
  • Číslo zmluvy
    1/2017
  • Názov zmluvy
    Nájomná zmluva
  • Typ zmluvy
    Jednorázová
  • Dodatok
  • Dodatok k zmluve číslo
    Neviaže
  • Viaže sa k VO číslo
    Neviaže
  • UVO URL
  • Dátum zverejnenia
    30.12.2016
  • Názov organizacie
    Kamenné Kosihy
  • Odberateľ

    • Názov
      Obec Kamenné Kosihy
    • IČO
    • Adresa
      Kamenné Kosihy č.3, 991 27 Kamenné Kosihy
  • Dodávateľ

    • Názov
      Obec Kamenné Kosihy
    • IČO
    • Adresa
      Kamenné Kosihy č.3, 991 27 Kamenné Kosihy
  • Dátum podpisu
    30.12.2016
  • Dátum platnosti od
    1.1.2017
  • Dátum platnosti do
    30.6.2017
  • Suma
    50,00 €
  • Nejde určiť hodnotu
  • Suma s DPH
    0,00 €
  • Číslo listu vlastnictva
  • Označenie nehnuteľnosti podľa zákona č. 382⁄2011 §5a odsek 12g
  • Poznámka
  • Prílohy